Materi invers fungsi diajarkan di kelas XI SMA semester genap. Invers fungsi biasa dilambangkan dengan f-1(x). Menentukan Invers Fungsi artinya menukar kedudukan domain dan kodomain. Bila fungsi f memetakan A ke B maka invers fungsi memetakan B ke A. Berikut ini saya akan mengemukakan cara alternatif untuk menentukan invers fungsi.
Contoh 1:
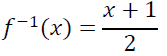
Jika f(x) = 2x - 1 maka tentukan f-1(x)
Cara Biasa:
Misal f(x) = y
Cara Alternatif:
Operasi pada x adalah:
1. Dikalikan 2
2. Dikurang 1
Lakukan kebalikan operasi dan urutannya, yaitu:
1. Ditambah 1
2. Dibagi 2
Sehingga:
Contoh Soal 2:
Jika g(x) = x2 – 4x + 3 maka tentukan g-1(x)!
Cara Biasa:
Misal g(x) = y
Cara Alternatif:
Ubah dulu g(x) = x2 – 4x + 3 menjadi g(x) = (x – 2)2 – 1 (dengan cara melengkapkan kuadrat sempurna)
Operasi pada x adalah:
1. Dikurangi 2
2. Dikuadratkan
3. Dikurangi 1
Lakukan kebalikan operasi dan urutannya
1. Ditambah 1
2. Diakar
3. Ditambah 2
Sehingga:




{ 0 komentar... read them below or add one }
Posting Komentar